william威廉中文官网2022年2月7日电(通讯员 刘滋菁)近日,william威廉中文官网贾海峰教授团队在压力导向的绿灰径流控制基础设施多目标空间布置决策研究方面取得新进展,构建了一个应用于径流控制基础设施空间规划的多标准决策框架。该框架应用压力-状态-响应模型,创造性地将区域压力缓解需求与基础设施的多功能有效性对应起来,从而达到径流控制空间优化的目的,同时对基础设施分区空间布置决策提出针对性建议。

图1 基于压力导向的基础设施空间布置决策研究成果
在应对洪水、资源枯竭和生态退化等威胁时,需要平衡生态环境安全、城市发展和区域的自然禀赋。绿色和灰色径流控制基础设施的效益在应用过程中从环境角度扩展到经济和生态角度,并且基础设施的适应性具有高度的本地化特征。因此,区域面临的环境、经济、生态多方面压力具有高度协同性和复杂性,仅通过管理者的主观偏好来识别区域压力的优先缓解策略可能与实际情况相违背。针对性的径流控制基础设施空间布置决策能够有效缓解区域面临的多方面压力。基于此,研究团队首先量化识别了区域在环境、经济、生态方面压力的空间异质性,然后研究了多压力协同作用区域并分析不同区域中的压力缓解权重,最后依据权重制定不同区域的径流控制基础设施差异化比选方案,由此实现了径流控制基础设施的适应性空间布置决策。
在环境因素方面,受纳水体的蓄水能力和水质自净能力呈现出空间不均衡性,导致区域径流水量水质调控压力的紧迫性呈现空间异质性。定量化的区域水量水质压力分析可用于指导径流控制基础设施补偿性方案的制定。同时,依据该研究成果,可提出针对性的空间径流调控方案。

图2 径流水量和水质调控压力分布情况
在经济因素方面,土地占用的机会成本、地方财政支持和经济活动动态的空间分布不均,限制了对基础设施生命周期阶段的投资。土地价值、GDP及人居经济活动密度的高值均分布在长江两侧的城市中心区域。这表明高度城市化的地区具备更高的经济敏感性。对区域多角度经济压力的量化能够从全生命周期角度判断径流控制基础设施的成本适宜性区域。

图3 经济压力分布情况
生态服务价值包括水资源供应、气候调节、景观美学效益、大气净化、水体净化及物种保护。生态系统服务价值具有空间不均衡属性,但其空间分布高值区与经济和环境压力有较大区别。对生态系统服务价值空间异质性的识别有助于判断径流控制基础设施生态补偿效益的区域适宜性。

图4 区域生态资源分布情况
区域多角度压力协同作用状态可通过压力聚类来识别,每个需求区域内对环境、经济、生态压力的调控优先等级有所差别。区域状态的分布呈现出显著的空间异质性。压力的量化提供了多方面调控需求比较的可能性。每个区域对应一种环境、经济、生态压力权重的组合情况,从而有针对性地提出径流控制基础设施的建议方案。

图5 不同调控需求区域的地理分布
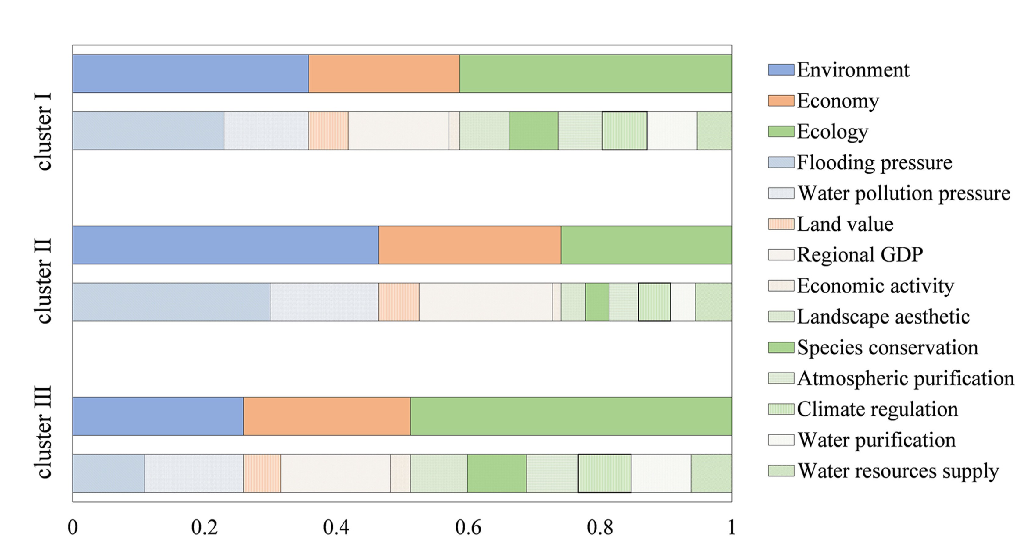
将每个集群中的压力整合为权重,代表调整需求的优先级。在区域Ⅰ中,生态和环境压力的权重较高,亟需调整(权重值均为0.4),而经济压力相对较小。在区域Ⅱ中,环境标准是最紧迫的压力要素(权重值为0.5),需要在基础设施建设中优先考虑;其次是区域经济压力的制约,然后是生态压力。在区域Ⅲ中,生态压力(权重值为0.5)优先于环境和经济约束,这表明缓解生态压力的紧迫性较高。

图6 各种压力调控需求的权重情况
研究团队结合每个压力调整需求区域内的环境、经济、生态多目标权重,对径流控制基础设施的多功能效益进行加权评估,在不同区域内实现了差异化的基础设施性能等级排序,从而实现了空间规划和有针对性的基础设施分区布置建议。绿色基础设施在区域I中排名第一,因为在此区域中生态和环境压力的同时缓解具备高优先级。灰色基础设施在区域II和区域III中排名第一,在这些地区中生态或环境压力的缓解是高度优先的。

图7 基础设施分区布置排名情况
该研究成果以“压力导向的绿灰径流控制基础设施多目标空间布置决策建议”(Adaptive pressure-driven multi-criteria spatial decision-making for a targeted placement of green and grey runoff control infrastructures)为题发表于《水研究》(Water Research)期刊上,william威廉中文官网贾海峰教授与博士生刘滋菁为论文的第一作者,贾海峰教授为论文的通讯作者。
论文链接:https://www.sciencedirect.com/science/article/pii/S0043135422000896