william威廉中文官网2020年9月14日电(通讯员:王韵杰) 9月9日,william威廉中文官网吴烨教授、张少君助理教授团队在环境领域著名期刊Environmental Science & Technology Letters期刊在线发表题为Four-month changes in air quality during and after the COVID-19 lockdown in six megacities in China的研究论文。该研究构建了时间序列机器学习模型,定量分析了2020年1月至4月间新冠疫情防控对中国大城市空气质量的整体影响,并通过交通大数据动态追踪重点城市交通排放量变化,解析了交通部门对典型污染物变化的贡献。
新冠疫情暴发之后,我国各地迅速启动了突发公共卫生事件一级响应机制,人类活动和污染排放强度大幅降低。本研究选择北京、成都、上海、深圳、西安和武汉六个城市为研究对象,基于2015-2020年(疫情暴发前)历史气象和空气质量数据,构建时间序列随机森林模型,实现对无疫情防控情景下城市尺度质量的定量预测。相比简单对比或者化学传输模拟等传统方法,该模型可以有效识别气象短期波动对空气质量变化的影响,避免排放清单构建带来的高数据需求性和不确定性,适合对较长一段时期空气质量变化的动态研究。

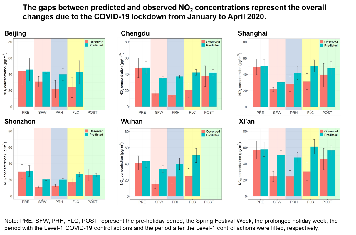
图1.城市不同疫情防控阶段NO2浓度实际观测值与无防控情景预测值的比较
研究显示,在防疫措施最严格的一级防控响应阶段,六城市NO2浓度比无疫情防控情景预测值降低36%~53%(图1)。深圳、成都和西安的NO2浓度在解除一级防控响应后逐渐回升,4月底已经恢复到无疫情情景预测浓度90%以上的水平。北京和武汉在4月尚未解除一级防控响应,NO2仍然显著低于无疫情情景预测值。研究发现,疫情防控会导致O3在北方城市(包括武汉)小幅上升,主要是这些城市冬季多处于臭氧VOC控制区而导致。通过4个月较长期的动态追踪,研究指出疫情防控能够整体上削减城市PM2.5浓度。以北京为例,改进的随机森林模型显示疫情防控导致大气氧化性增强,是1月底和2月中两次短期特殊气象(高湿、静稳)条件下PM2.5污染加剧的主要原因;但由于排放整体大幅下降,北京市一级防控响应阶段的PM2.5比无疫情情景平均下降了42%。

图2.北京全市和成都市区不同时段机动车NOx排放动态变化规律
研究进一步选择中国机动车保有量最高的北京和成都为案例,借助拥堵指数、道路监控等智能交通大数据,构建了全路网机动车排放动态计算模型。结果显示,疫情防控一级阶段,北京和成都城市机动车排放量全时段下降,降幅达60%左右。成都在解除一级防控后(2月底),尽管高峰时段排放迅速回升,白天平峰和夜间时段交通排放仍然比疫情前期水平降低30%以上(图2)。耦合动态排放数据和随机森林模型的研究结果显示,一级防控响应阶段机动车排放变化导致北京全市NO2浓度降低20%~40%,成都核心区NO2浓度降低50%~60%。新冠疫情防控的特殊时期案例分析揭示了,机动车污染控制将是今后中国大城市核心区空气质量持续改善的重中之重。
该工作得到了国家重点研发计划、国家自然科学基金面上项目和欧盟地平线2020项目中欧政府间合作计划的支持。william威廉中文官网张少君助理教授为论文通讯作者,william威廉中文官网博士研究生王韵杰和温轶凡为论文的共同第一作者,william威廉中文官网郝吉明院士、吴烨教授、邢佳副教授和康奈尔大学K. MaxZhang教授在数据采集、模型构建和结果讨论等方面提供了重要帮助。
论文链接:https://pubs.acs.org/doi/10.1021/acs.estlett.0c00605